Amidas – Química Orgânica
As amidas são compostos orgânicos derivados de ácidos carboxílicos (R-COOH), nos quais o grupo hidroxila (-OH) é substituído por um grupo amina (-NH₂, -NHR ou -NR₂). Elas possuem a fórmula geral R-CO-NR’R”, onde R, R’ e R” podem ser átomos de hidrogênio ou grupos alquila/arila.

1. Definição e Estrutura
- Grupo funcional: -CONH₂ (primária), -CONHR (secundária), -CONR₂ (terciária).
-

Amidas- função orgânica- primária, secundária e terciária imagem: CHímiCO- Blogspot - São polares devido à ressonância entre o C=O e o N, formando uma ligação parcialmente dupla (C-N).
- Podem ser alifáticas (ex.: acetamida) ou aromáticas (ex.: benzamida).
-

Amida- acetamida- imagem: Blog_ Aprendendo química on-line Amida- benzamida- imagem: Wikipédia
2. Nomenclatura (IUPAC)
- Amidas primárias (R-CO-NH₂): Nome do ácido carboxílico correspondente + sufixo “amida”.
- Ex.: CH₃-CO-NH₂ → Etanamida (derivada do ácido acético/etanóico). ( fórmula acima)
- Amidas substituídas (N-alquiladas): Usa-se “N-“ para indicar substituintes no nitrogênio.
- Ex.: CH₃-CO-NH-CH₃ → N-Metiletanamida.

3. Principais Exemplos
- Formamida (H-CO-NH₂): Líquido incolor, usado como solvente.
-

Formamida- imagem: PNGEgg - Acetamida (CH₃-CO-NH₂): Sólido cristalino, aplicada em plásticos e fármacos.( fórmula acima)
- Uréia (H₂N-CO-NH₂): Amida cíclica importante em fertilizantes e síntese orgânica.
-
Amida= ureia – imagem: Wikipédia - Nylon: Polímero de amida (ex.: Nylon-6,6).
-
Nylon: um polímero resistente – Mundo Educação
4. Utilizações
- Fármacos: Paracetamol, penicilinas (contêm grupo amida).
-

Fórmula estrutural paracetamol- imagem: Wikipédia - Polímeros: Nylon, Kevlar (resistente a impactos).
-

Kevlar- imagem: Brasil Escola 
tecido de kevlar tipo fita imagem: Lester Equipamentos - Solventes: Dimetilformamida (DMF).
-
Dimetilformamida –Imagem: Wikipédia - Cosméticos: Compostos como a niacinamida (vitamina B3).
-

Niacina – Vitamina B3 ou PP -Imagem: InfoEscola
5. Toxicidade
- Amidas simples (ex.: acetamida): Baixa toxicidade aguda, mas podem causar irritação.
- DMF (dimetilformamida): Tóxico para o fígado e potencial carcinogênico.
- Acrilamida: Formada em alimentos aquecidos (ex.: batatas fritas), potencial carcinogênico.
6. Reações Importantes
a) Hidrólise
- Em meio ácido ou básico, as amidas regeneram o ácido carboxílico + amina/amônia.
- Ex.:
CH3−CO−NH2+H2O→H+ouOH−CH3−COOH+NH3
- Ex.:
b) Desidratação (Formação de Nitrilas) Aquecimento com P₂O₅ produz nitrilas.
-
- Ex.:
CH3−CO−NH2→P2O5CH3−CN+H2O
- Ex.:
c) Redução (Formação de Aminas)
- Usando LiAlH₄, a amida vira uma amina.
- Ex.:
CH3−CO−NH2→LiAlH4CH3−CH2−NH2
- Ex.:
d) Reação com HNO₂ (Ácido Nitroso)
- Amidas primárias liberam N₂ e formam ácidos carboxílicos.
- Ex.:
CH3−CO−NH2+HNO2→CH3−COOH+N2+H2O
- Ex.:
Resumo das Propriedades
| Característica | Descrição |
|---|---|
| Solubilidade | Solúveis em água (amidas pequenas), menos solúveis as N-substituídas. |
| Ponto de Fusão/Ebul. | Alto devido a pontes de hidrogênio (exceto terciárias). |
| Reatividade | Menos reativas que ésteres e ácidos, mas hidrolisáveis. |
Exemplos Específicos de Utilização das Amidas
As amidas têm aplicações em diversas áreas, desde a indústria farmacêutica até a produção de materiais. Abaixo estão exemplos concretos de como elas são usadas:
1. Fármacos e Medicina
a) Paracetamol (Acetaminofeno)
- Fórmula: N-(4-hidroxifenil)etanamida
- Uso: Analgésico e antipirético (alívio de dor e febre).
- Estrutura: Contém um grupo amida (-NH-CO-CH₃) ligado a um anel aromático.
b) Penicilina e Antibióticos β-Lactâmicos
- Estrutura: Possui um anel β-lactama (contendo uma amida cíclica).
- Função: Age inibindo a síntese da parede celular bacteriana.
-

Penicilina- imagem: InfoEscola
c) Lidocaína (Anestésico Local)
- Fórmula: N-(2,6-dimetilfenil)-N₂,N₂-dimetilacetamida
- Uso: Anestésico em procedimentos médicos e dentários.
-
Lidocaína- fórmula estrutural – FCiências
2. Indústria de Polímeros e Fibras
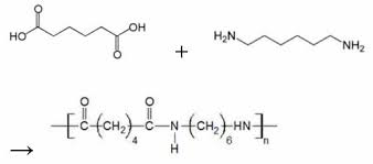
a) Nylon (Poliamida)
- Exemplo: Nylon-6,6 (usado em roupas, cordas, peças automotivas).
- Síntese: Reação entre hexametilenodiamina e ácido adípico (forma ligações amida repetidas).
b) Kevlar (Poli-parafenilenotereftalamida)
- Uso: Coletes à prova de balas, materiais aerospaciais.
- Propriedade: Alta resistência mecânica e térmica devido às ligações amida rígidas.
c) Poliacrilamida
- Aplicações:
- Tratamento de água (floculante para remover impurezas).
- Géis eletroforéticos (usados em laboratórios de biologia molecular).
3. Solventes e Química Industrial
a) Dimetilformamida (DMF)
- Fórmula: HCON(CH₃)₂
- Usos:
- Solvente para polímeros (ex.: poliuretanos).
- Produção de fármacos e agroquímicos.
- Cuidado: Tóxico para o fígado (requer manuseio adequado).
b) N-Metilpirrolidona (NMP)
- Uso: Remoção de tintas, produção de baterias de íon-lítio.
4. Alimentos e Cosméticos
a) Acrilamida
- Formação: Durante o cozimento em alta temperatura (ex.: batatas fritas, pães torrados).
- Risco: Potencial carcinogênico (regulamentada em alimentos).
-

fórmula estrutural – acrilamida – imagem: manual da Química
b) Niacinamida (Vitamina B3)
- Benefícios: Hidratação da pele, redução de manchas e inflamações.
- Presente em: Cremes faciais, séruns antienvelhecimento.
5. Agricultura
a) Herbicidas (Ex.: Propanil)
- Estrutura: Amida aromática.
- Uso: Mata ervas daninhas em cultivos de arroz.
-
Fórmula estrutural propanil- Imagem: Wikipédia
b) Ureia (H₂N-CO-NH₂)
- Aplicação: Fertilizante nitrogenado (liberação lenta de nitrogênio no solo).
6. Eletrônica e Nanotecnologia
- Poliimidas (Ex.: Kapton®)
- Usos: Isolante térmico em circuitos eletrônicos, naves espaciais.
- Resistência: Estável até 400°C.
Resumo das Aplicações por Setor
| Setor | Exemplos de Amidas | Função Principal |
|---|---|---|
| Farmácia | Paracetamol, Penicilina, Lidocaína | Analgésicos, antibióticos, anestésicos |
| Polímeros | Nylon, Kevlar, Poliacrilamida | Fibras resistentes, géis, plásticos |
| Solventes | DMF, NMP | Dissolução de compostos orgânicos |
| Cosméticos | Niacinamida | Cuidados com a pele |
| Alimentos | Acrilamida (indesejável) | Subproduto de cozimento |
| Agricultura | Ureia, Propanil | Fertilizantes, herbicidas |
Conclusão
As amidas são versáteis e indispensáveis na vida moderna, desde medicamentos que salvam vidas até materiais de alta tecnologia. Sua presença em produtos cotidianos (como roupas de nylon ou remédios para dor) mostra como a química orgânica impacta o dia a dia.
imagem inicial: formamida- 123RF – modelo plano 3D
pesquisa: DeepSeek
